43,5053$% 0.21
51,9019€% -0.32
59,8617£% -0.28
7.117,23%-5,48
12.041,00%-6,10
13.713,66%-0,85
3590550฿%-5.75656
02:00
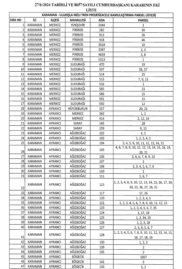
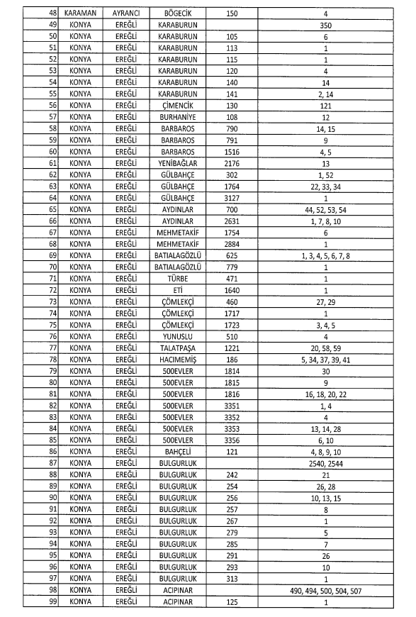
Cumhurbaşkanı Recep Tayyip Erdoğan’ın imzası ile Konya, Karaman ve Niğde’deki bazı alanların acele kamulaştırılmasına karar verildi. Listede Ereğli’de bulunuyor.
Yapılacak olan çalışmalar neticesinde Ereğli’de çeşitli mahallelerde bulunan 51 alanın kamulaştırılacağı belirtildi.
Ereğli’de Gülbahçe, Türbe, Yunuslu, Bahçeli, Acıpınar, Hacımemiş, Çakmak, Burhaniye, 500 Evler, Barbaros, Çimencik, Yenibağlar, Aydınlar, Mehmetakif, Karaburun, Batıalagözlü, Eti, Çömlekçi, Talatpaşa, Bulgurluk Mahallelerinde bulunan birden fazla alan acele kamulaştırılacak.

Resmi Gazete’de yayınlanan karara göre; “Karaman-Ulukışla İstasyonlarının Çift Hale Getirilmesi Projesi kapsamında Karaman, Konya, ve Niğde illeri sınırları içerisinde yer alan ve ekli listede bulundukları yer ile ada ve parsel numaraları gösterilen taşınmazlar ile üzerlerindeki muhdesatın Türkiye Cumhuriyeti Devlet Demiryolları İşletmesi Genel Müdürlüğü tarafından acele kamulaştırılmasına, 2942 Kamulaştırma Kanunun 27’nci maddesi gereğince karar verilmiştir” denildi.



Haber: Eray YETKİN

AK PARTİ EREĞLİ İLÇE BAŞKANLIĞI MUHTARLARLA BİR ARAYA GELDİ